-
ꁸ 回到顶部
-
ꂅ 010-82387330
-
ꁗ QQ客服
-
ꀥ 添加销售微信

积极为行业提供可靠的产品和完善的解决方案
应用 • 案例
-

荷兰植物生态表型中心采用Apogee温室研究解决方案进行植物表型研究
荷兰植物生态表型中心(NPEC)将先进自动化技术、准确环境控制与 Apogee 传感器数据的深度融合,推动了表型分析领域的突破,更将深刻塑造农业发展与全球粮食系统的未来。2025-11-03
查看详情
-

利用HYPROP非饱和导水率测量仪进行植物水分胁迫的相关研究
水势虽是研究植物水分状况的关键指标,借助METER公司的HYPROP非饱和导水率测量仪,仅通过一次连续测试,就能同时测定完整的土壤水分释放曲线与导水率数据,找到了“植物在湿润基质中仍萎蔫”的根本原因2025-09-18
查看详情
-

Delta-T土壤水分监测系统助力英国甜菜研究组织(BBRO)进行干旱及水分亏缺项目研究
Delta-T公司正为英国甜菜研究组织(BBRO)提供土壤传感器和数据记录仪,用于开展重要的干旱与水分亏缺研究项目。2025-08-26
查看详情
-

英国格林威治大学采用BF5太阳辐射传感器进行温室太阳能电池板的研究
英国格林威治大学 E Thompson 博士等探索英国农场利用太阳能同步生产高品质作物的潜力。该项目证实太阳能发电与农作物种植可在同一地块协同共存,且无需额外建设新设施。这种模式有望提升农业可持续性、降低土地需求并削减生产成本2025-07-01
查看详情
-

英国克兰菲尔德大学研究人员采用 PR2土壤剖面水分传感器研究不同耕作制度对土壤水分运动的影响
英国克兰菲尔德大学的研究人员马特・皮特对水力数据建模兴趣浓厚,目前正开展一项关于不同耕作制度对土壤特性影响的研究。2025-06-23
查看详情
-

Apogee仪器在减少红树莓中的日本甲虫研究中的应用
宾夕法尼亚州立大学的研究人员采用Apogee PS-300便携式光谱测量仪,测量了不同塑料覆盖的高架棚内的光谱分布。研究发现,采用遮挡紫外线的塑料布可以减少日本甲虫的聚集和对树莓的损害。2025-04-01
查看详情
-

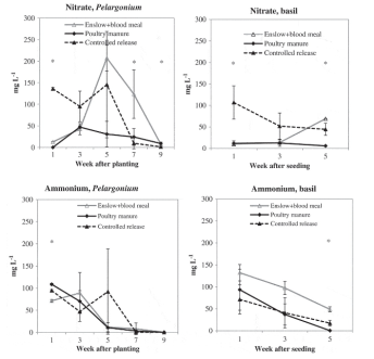
MC-100叶绿素仪在盆栽作物施肥研究中的应用
2025-03-15
查看详情
-

Meter土壤水分仪和气象站应用于大豆的耐旱性研究
佐治亚大学的研究人员Clinton Steketee致力于提高大豆的耐旱性,其采用METER土壤湿度传感器,还运用METER的微气候气象站,监测两个实地研究地点的水输入情况,确定对干旱相关性状进行表型分析的最佳时间段。2025-02-19
查看详情
-

Minimet自动气象站应用于英国泥炭地的碳预算研究
Minimet高精度自动气象站被应用于英国北部泥炭地的研究,为项目提供降雨量、空气温湿度、风向风速、土壤温湿度和太阳辐射等研究所需的环境数据。2024-03-28
查看详情
-

WS-GP2自动气象站和SM150T土壤水分传感器应用于作物灌溉管理
作为“创新英国”资助的为期18个月的项目的一部分,克兰菲尔德大学的研究人员正在与英国和哥伦比亚的合作伙伴合作,帮助提高马格达莱纳地区香蕉种植者的生产力。该项目面临的挑战之一是收集当地的土壤、农业气候和作物相关信息,英国Delta-T公司的相关仪器设备发挥了重要作用。2024-03-14
查看详情
-

WET150土壤多参数传感器应用于作物生长监控
WET150是一款多参数土壤传感器,可测量土壤的含水量、温度和孔隙水电导率三个参数。WET150广泛用于学术研究和商业作物生产,是集成到准确作物管理系统中的理想的土壤传感器。2024-03-11
查看详情
-

MultispeQ在研究水分胁迫对作物减产影响及基因型筛选中的应用
随着全球干旱的加剧和农作物减产的发生,水分胁迫的深入研究愈发重要。Akello 等人进行了一项水分胁迫对lablab(一种豆类作物)在作物形态以及生理生化反应上的实验研究。2023-11-21
查看详情
-

PR2土壤剖面水分传感器在德国耶拿实验生物多样性研究中的应用
耶拿实验是由德国研究基金会(DFG)资助的以生物多样性为目标的长期研究项目。PR2土壤剖面水分传感器(可提供模拟和数字SDI-12版本)已经成为耶拿实验传感器网络的重要组成部分,几乎贯穿了整个长期运行项目2023-06-05
查看详情
-

MultispeQ植物多参数测量仪应用于硒对玉米生长促进作用的研究
研究说明,在进行与肥料施用和纳米颗粒利用相关的植物生理研究时,MultispeQ植物多参数测量仪为研究人员提供了一种便捷的测量选择,以经济有效和无损的方式测量植物光合及荧光的相关指标。2023-05-22
查看详情
-

MC-100叶绿素绝对含量测量仪用于研究臭氧对葡萄植株生长的影响
将MC-100叶绿素绝对含量测量仪用于研究臭氧对葡萄植株生长的影响。研究结果表明,即使是低剂量的无毒臭氧也有助于刺激葡萄藤中抗性相关基因的表达。本研究也说明MC-100叶绿素仪是一款方便可信任的叶绿素含量测量工具。2023-05-05
查看详情
-

MultispeQ在作物转录分析与其光周期敏感生理研究中的应用
Shneider等人,对大麦(光周期敏感)和番茄(光周期不敏感)幼苗的组织分别进行了生理评估和转录组分析,以研究这些影响。在生理评估中,Shneider等人采用MultispeQ来测量植物相对叶绿素含量值。2023-02-15
查看详情
-

MS600多光谱相机,精准农情监测触手可得
MS600无人机载多光谱农业监测系统采用无人机搭载多光谱相机的模式,根据用户需求,灵活、准确地获取待测作物的光谱遥感图像,配套专业的预处理算法及专家算法,自动、快速反演植被的长势、营养胁迫、病虫害等生长状况,并将此农情信息反馈至终端用户,同时存入数据云平台进行大数据迭代分析,以实现农情准确分析。2023-01-17
查看详情
-

MultispeQ应用于小麦的耐寒性及干旱记忆反应研究
研究人员使用MultispeQ测量实验小麦植株的Phi2(光系统II),以评估光合作用的差异。试验包括对照组(CG)、直接干旱(DD)和干旱记忆(DM)三个小麦植株处理。暴漏于类似干旱的条件下,在0、24、48和72小时分别进行测量。2022-12-13
查看详情
-

MS600无人机多光谱疫木监测系统
MS600无人机多光谱疫木监测系统基于MS600多光谱相机,结合自主研发的核心疫木识别提取算法与软件,能够实现松材线虫病疫木的自动识别、提取、标记,并可生成空间统计信息输出监测专题图,为相关部门提供准确的监测依据,开启松材线虫病疫木的智能监测管理时代2022-12-10
查看详情
-

Evolution自动气象监测网络应用于葡萄园气象监测
意大利马卡特雷维吉亚纳(Marca Trevigiana)的某些地区盛产的普洛赛克(Prosecco DOCG)白葡萄酒闻名世界,这些地区有大面积的葡萄种植园。为了监测葡萄的长势和采取科学的管理措施,当地葡萄园布设了农业气象监测网络。2022-12-01
查看详情
积极为行业提供可靠的产品和完善的解决方案
新闻 • 资讯
-
DRS26径向生长测量系统于白银平川区山脉安装调试完成
近期,我司在甘肃白银市平川区周边山脉,完成了多套 DRS26 径向生长测量系统的安装与调试工作。该系统的落地,为当地典型样木生长状态研究提供了关键技术支持,可实现对样木生长数据的准确捕捉,对推动树木生长相关研究具有重要意义。
넶19 2025-10-30 -
我司应邀参加中国草学会2025年会
10月10-12日北京瑞顶环境科技有限公司应邀参加了在青岛举办的中国草学会2025年会。本届会议由中国草学会主办、青岛农业大学承办,以“科技赋能草地‘四库’“为主题。来自国内外草业科学及相关领域的院士、专家学者、研究人员以及关心草学事业发展的社会人士等1600余人参加盛会。
넶18 2025-10-16 -
土壤-气象一体化监测系统-哈尔滨黑土地地球关键带野外科学观测站
近期,我司在哈尔滨黑土地地球关键带野外科学观测站,完成了一套土壤-气象一体化监测系统的安装调试工作,目前该系统已顺利投入运行。
넶27 2025-10-15
北京瑞顶环境科技有限公司
ABOUT US
北京瑞顶环境科技有限公司专注于为国内用户引进先进的生态科研技术与理念,搭建连接先进生态科研技术与中国用户的桥梁,矢志不渝地为国内生态环境科研院所及高校的用户提供满意的产品和服务。
瑞顶环境不断引进高品质的生态科研仪器设备和先进的科研技术,为国内生态科研工作者提供更稳定的技术应用方案和解决方案,满足广大用户的需求。截止目前,公司已与几十家家知名生态仪器制造厂家达成稳定的合作关系,并且还在不断地发现新的制造商及全新的生态科研技术方案。
瑞顶环境的产品主要包括土壤生态、植物生理生态、气象监测、环境监测、水质监测、生态遥感等研究用的全球先进仪器和整体解决方案,如土壤水温盐监测系统、植物生理生态监测解决方案、植物年轮测量系统、科研级气象监测站、水质在线监测系统、空气质量监测系统、生态遥感监测系统、激光元素分析系统等等。
成为生态领域科研解决方案提供商是瑞顶环境的目标。公司技术团队为客户提供稳定的技术支持和售后服务,得到了用户的高度赞许和一致好评!
生态科学研究,瑞顶环境与您同行!
联系方式
—
北京总部
地址:北京市大兴区嘉悦广场4号楼17层1709
电话:010-82387330 / 15650723906
邮箱:sales@readingenviro.com
网址:www.readingenviro.com
泰安办事处
地址:山东省泰安市泰山区五马街龙河商贸大厦3号楼607室
电话:13910646250



















